With an evolving and ever-increasing list of electric vehicles (EVs) available overseas, Australians can feel confident that some time very very soon, Â a selection of them will arrive on our shores too.
Below is a list of (hopefully) all the BEVs (Battery Electric Vehicles) and PHEVs (Plug-in Hybrid Electric Vehicles) currently available (November, 2018) in Australia. And those that soon will be.
It is a much smaller list than what is available in overseas markets, but it is also not insignificant, and there are more models just over the horizon from both the listed manufacturers, as well as many others yet to enter the EV marketplace.
These include a promised twenty or more EVs from the VW group over the next two to three years. At that stage – I may as well as collate a list of internal combustion engine vehicles instead: it would likely be shorter!)
The Driven will be publishing a regular update of this list as the timing and pricing of new models becomes clearer. In the meantime, please lookout for our Models page, launching soon, which will include pricing, specifications, reviews, road trips and news on all available models in Australia.
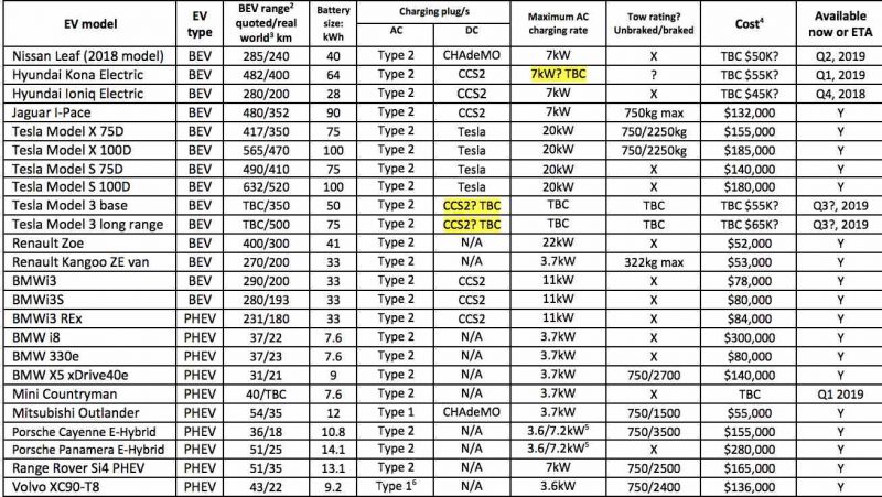
Important note: The data listed in the following table is provided as a guide only. Whilst all efforts have been made to cross-check the listed data, specifications for vehicles constantly change and it is also not unusual for manufacturer data to contain errors and typos.
If intending to purchase any of the vehicles listed: make sure you thoroughly check its current specifications with the seller.
List of new BEVs and PHEVs currently available in Australia1: (Plus some soon to arrive)

Notes:
- Mercedes PHEVs not included as they are no longer available (have been dropped pending the arrival of the new EQ series next year).
- Quoted ranges are from the Green Vehicle Guide: wherever possible. Those not yet available in Australia use the NEDC ratings.
- Real world ranges are either US EPA ranges except for Renault, where manufacturer real-world range used.
- Approximate base model price based on currently available listings, inc on-road costs (ORCs).
- Porsche standard on-board charger is 3.6kW, optional 7.2kW charger.
Â

Bryce Gaton is an expert on electric vehicles and contributor for The Driven and Renew Economy. He has been working in the EV sector since 2008 and is currently working as EV electrical safety trainer/supervisor for the University of Melbourne. He also provides support for the EV Transition to business, government and the public through his EV Transition consultancy EVchoice.